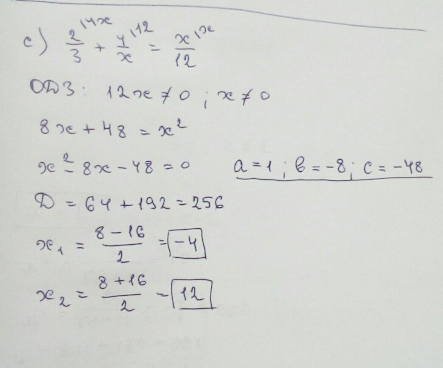
Помогите пожалуйста срочно надо b,c напишите пожалуйста чему равно а,б,с в дискриминанте и сам дискриминант пожалуйста
Приложения:

Ответы
Ответ дал:
0
Ответ:
фоточка тебе в помощь ;)
Приложения:


Ответ дал:
0
Ты дискриминант не знаешь?
Вас заинтересует
2 года назад
2 года назад
3 года назад
8 лет назад
8 лет назад
9 лет назад