• Предмет: Алгебра
  • Автор: sjyquake
  • Вопрос задан 8 лет назад

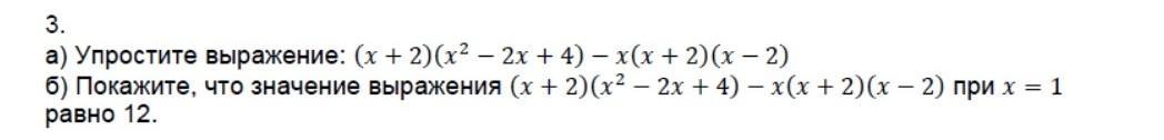
помогите соч 3 задание б ​

Приложения:

Ответы

Ответ дал: Аноним
0

а)

displaystyle tt (x+2)(x^2-2x+4)-x(x+2)(x-2)=(x+2)(x^2-2x+4-x(x-2))=\\ displaystyle tt =(x+2)(x^2-2x+4-x^2+2x)=(x+2)cdot4=bold{4x+8}

б)

Так как выражение такое же, как и под буквой а), то подставим в получившееся выражение выше значение и получим:

displaystyle tt 4x+8=4cdot1+8=4+8=bold{12}

Вас заинтересует