• Предмет: Алгебра
  • Автор: zurumaevamahabbat
  • Вопрос задан 8 лет назад

помогите пожалуйста!Срочно!​

Приложения:

Ответы

Ответ дал: KnightOff
0

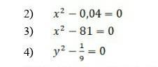
2) x²-0,04=0

(x-0,2)(x+0,2)=0

x1=0,2

x2=-0,2

3) x²-81=0

(x-9)(x+9)=0

x1=9

x2=-9

4) y²- 1/9= 0

(y- 1/3)(y+ 1/3)=0

y1= 1/3

y2= -1/3

Вас заинтересует