• Предмет: Математика
  • Автор: Аноним
  • Вопрос задан 8 лет назад

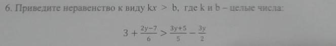
срочно помогите !!!!!!!!!!!!!​

Приложения:

Ответы

Ответ дал: terikovramazan
0

Ответ: 5y>-85

Пошаговое объяснение:

Приложения:
Вас заинтересует