• Предмет: Алгебра
  • Автор: zavrus06
  • Вопрос задан 8 лет назад

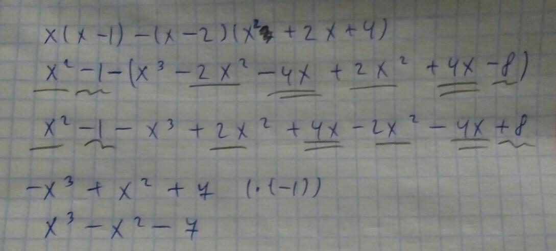
8 БАЛЛОВ упростите вырождение x(x-1)-(x-2)(x2+2x+4) ПОДАЛУЙСТА​

Ответы

Ответ дал: MichaelleTurner
0

Ответ:

Надеюсь, что помогла!

Приложения:
Вас заинтересует