Ответы
Ответ дал:
0
х=16/у
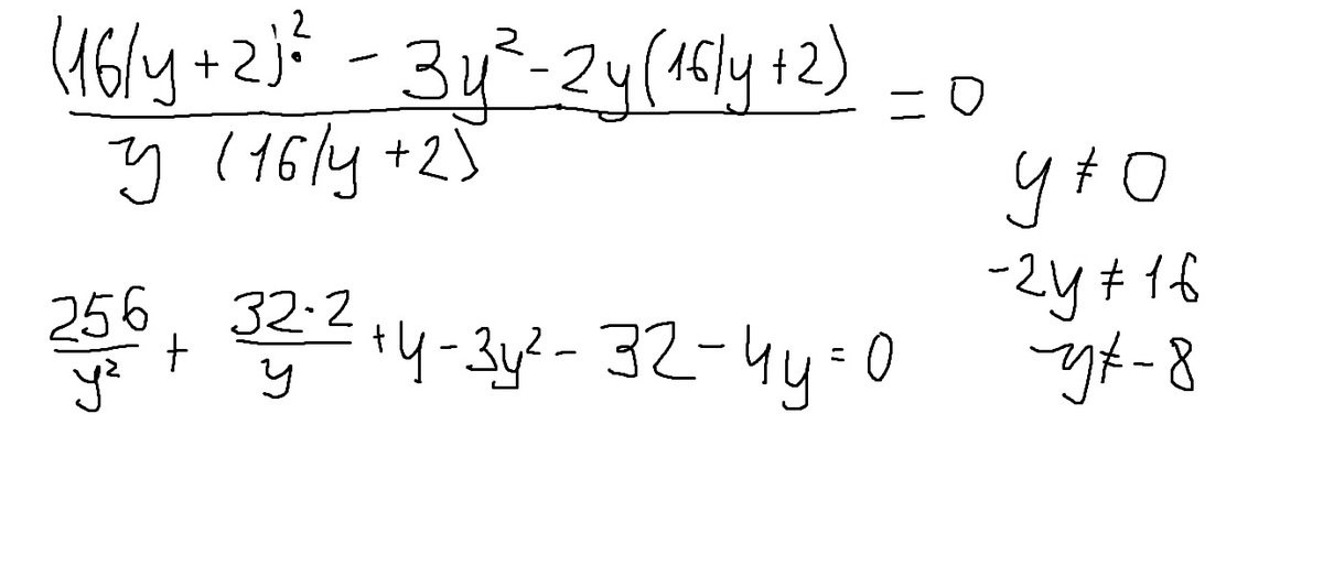
(16/у+2)/у-3у/(16/у+2)=2
Приводим к общему знаменателю:
...
Дальше нужно подобрать корень, сейчас попробую
...
х=-2 подходит, тогда ещё один скрин...
...
ищем оставшиеся корни уже кубического уравнения:
х=8/3, остальные корни комплексные, то есть дискриминант меньше 0.
теперь находим у :)
-2у=16
у=-8 - не подходит по одз.
8/3=16/у
48=8у
у=6.
Ответ: х=8/3, у=6.
(16/у+2)/у-3у/(16/у+2)=2
Приводим к общему знаменателю:
...
Дальше нужно подобрать корень, сейчас попробую
...
х=-2 подходит, тогда ещё один скрин...
...
ищем оставшиеся корни уже кубического уравнения:
х=8/3, остальные корни комплексные, то есть дискриминант меньше 0.
теперь находим у :)
-2у=16
у=-8 - не подходит по одз.
8/3=16/у
48=8у
у=6.
Ответ: х=8/3, у=6.
Приложения:
Ответ дал:
0
лёгкое)
Ответ дал:
0
спасибо с:
Ответ дал:
0
не удивлюсь, если накосячил)
Вас заинтересует
3 года назад
8 лет назад
11 лет назад
11 лет назад