• Предмет: Алгебра
  • Автор: Софья777
  • Вопрос задан 11 лет назад

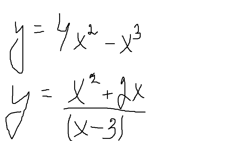
помогите построить графики функций

Приложения:

Ответы

Ответ дал: мегамачо45
0
ты уверенна, что это графики? 
Вас заинтересует