Ответы
Ответ дал:
0
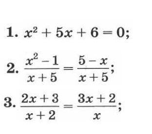
Привет! Вот ответ. Все решено по т. Виета. Будут вопросы пишите.
Приложения:

Ответ дал:
0
Приветик!) мне нужно решение с дискреминантом, а не по теореме Виета)
Вас заинтересует
2 года назад
3 года назад
3 года назад
8 лет назад
9 лет назад