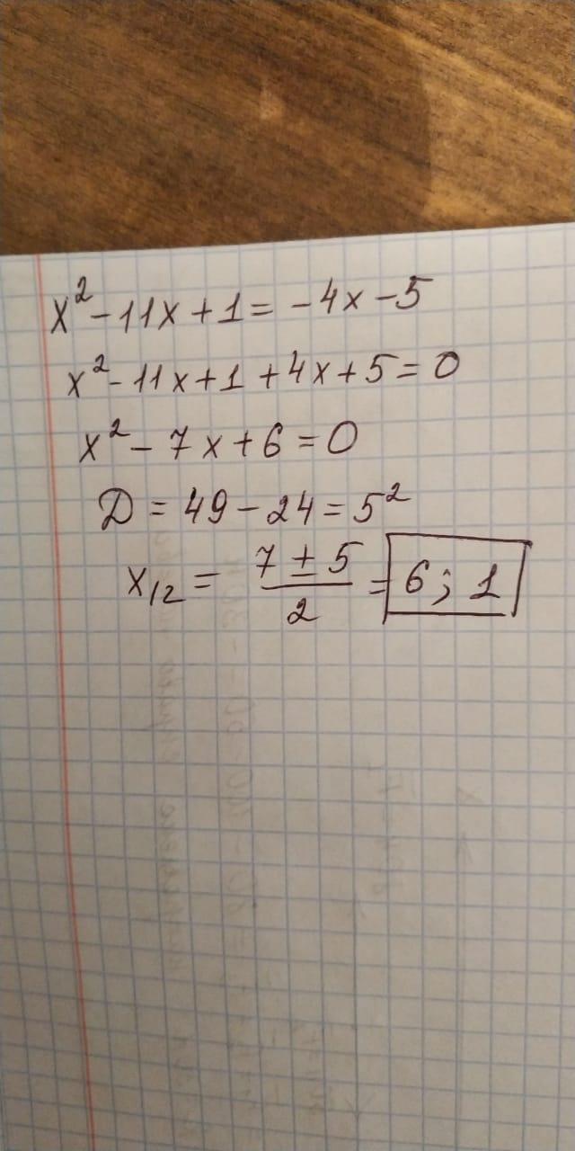
найти координаты точек пересечения графиков функций у= х² -11х +1 и у= -4х-5
ПОМОГИТЕ ПОЖАЛУЙСТАА ,СРОЧНО НАДООО .
Ответы
Ответ дал:
0
Ответ:
вот пожалуйста
Объяснение:
Приложения:

Вас заинтересует
2 года назад
2 года назад
3 года назад
3 года назад
8 лет назад
8 лет назад
9 лет назад