• Предмет: Алгебра
  • Автор: IUV
  • Вопрос задан 8 лет назад

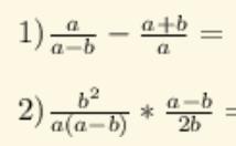
прошу упростить выражения

Приложения:

Ответы

Ответ дал: Universalka
0

1)frac{a}{a-b}-frac{a+b}{a}=frac{a^{2}-(a-b)(a+b)}{a(a-b)}=frac{a^{2}-a^{2}+b^{2}}{a(a-b)}=frac{b^{2}}{a(a-b)}\\2)frac{b^{2}}{a(a-b)}*frac{a-b}{2b}=frac{b}{2a}

Ответ дал: bertain
0

Решение на фотографии.

Уточнения в первом примере:

Через " " сверху надписаны дополнительные множители, на которые нужно домножить ту или иную дробь, чтобы привести к общему знаменателю;

(a+b)*(a–b) = a²–b² это формула сокращённого умножения, «разность квадратов».

Приложения:
Вас заинтересует