Помогите пожалуйста решить задания по алгебре. Их всего 5,состоящих из 1 примера,т.е получается 5 примеров. Буду очень признательна
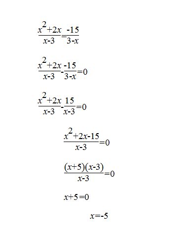
Приложения:
Ответы
Ответ дал:
0
=============================================
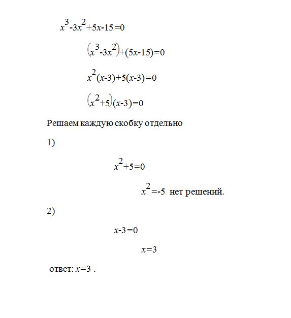
Приложения:




Вас заинтересует
2 года назад
2 года назад
8 лет назад
8 лет назад
10 лет назад