• Предмет: Математика
  • Автор: natali171106
  • Вопрос задан 8 лет назад

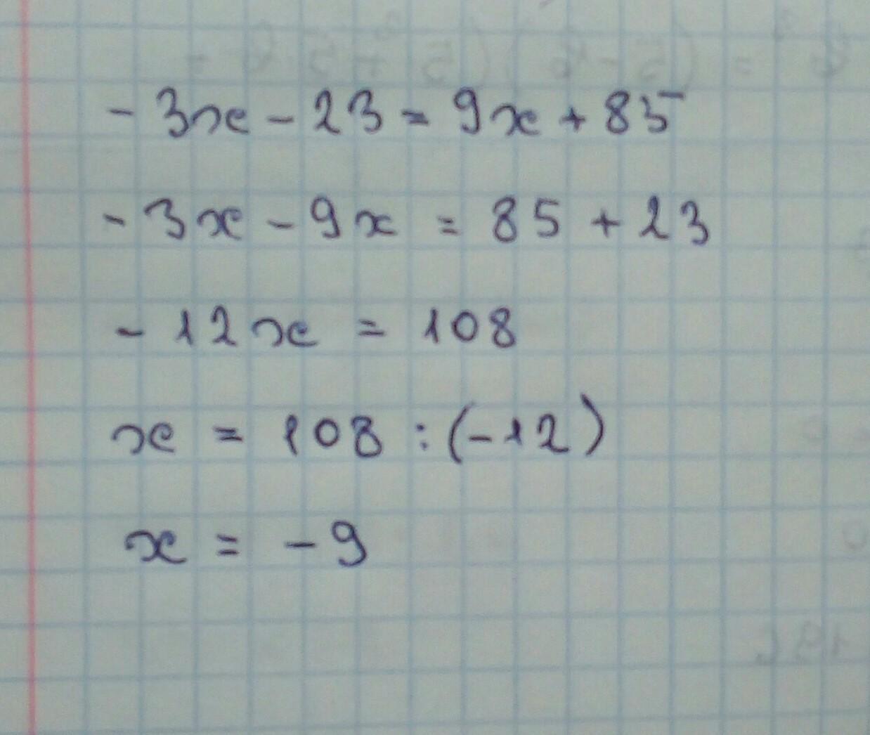
-3x−23=9x+85 . Решите пж срочно!!!

Ответы

Ответ дал: ЯгодкаЯлесная
0

Ответ:

-9

Пошаговое объяснение:

фоточка тебе в помощь ;)

Приложения:
Ответ дал: natali171106
0
Спсаибо
Ответ дал: alex080297
0

Ответ:

x=-9

Пошаговое объяснение:

-3x-23=9x+85\-3x-9x=85+23\-12x=108\x=108:(-12)\x=-9

Проверка:

(-9)*(-3)-23=27-23=4\9*(-9)+85=-81+85=4\4=4

Приложения:
Вас заинтересует