• Предмет: Математика
  • Автор: alenakorotich
  • Вопрос задан 8 лет назад

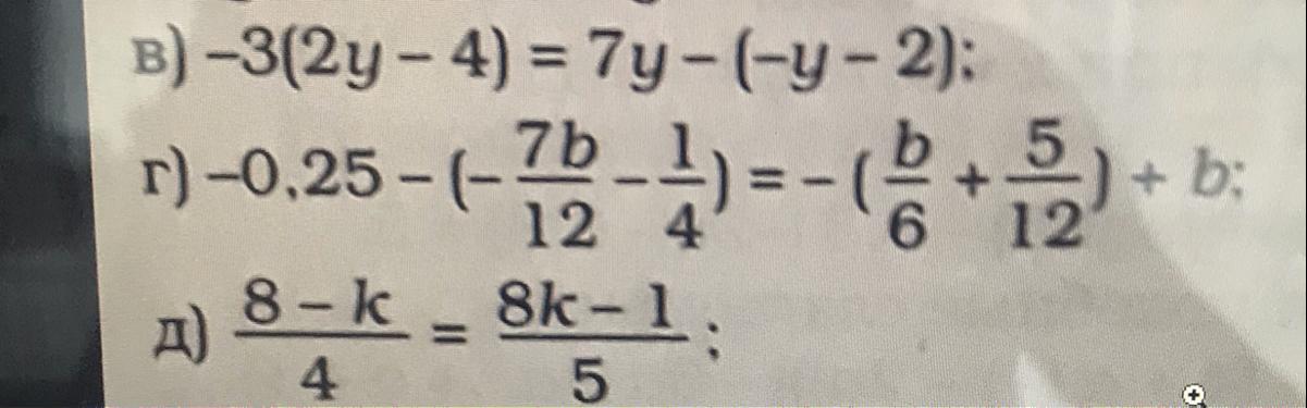
Помогите решить уравнения!!!!!

Приложения:

Ответы

Ответ дал: nastja060154
0
В и сейчас будет ещё продолжение
Приложения:
Вас заинтересует