Точка движется прямолинейно согласно уравнения f(t).
1) В какой момент времени её ускорение будет равно а ?
2) Какое ускорение будет в момент времени t ?
Приложения:

Ответы
Ответ дал:
0
Ответ:
1) t = √(2/3)с ≈ 0.8 c; 2) a = 90 м/с²
Объяснение:
Уравнение движения точки
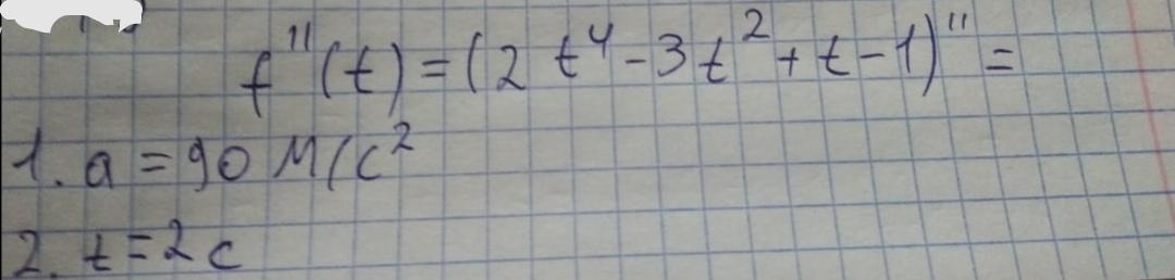
f(t) = 2t⁴ - 3t² + t - 1
Скорость точки
v(t) = f'(t) = 8t³ - 6t + 1
Ускорение точки
а(t) = v'(t) = 24t² - 6
1) a = 10 м/c²
10 = 24t² - 6
24t² = 16
t² = 2/3
t = √(2/3) ≈ 0.8 (c)
2) t = 2c
a = 24 · 2² - 6 = 90 (м/с²)
Вас заинтересует
2 года назад
2 года назад
3 года назад
3 года назад
8 лет назад
8 лет назад
9 лет назад