• Предмет: Математика
  • Автор: teoacan
  • Вопрос задан 8 лет назад

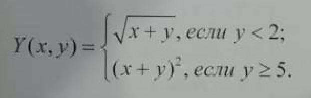
Здравствуйте, не могу вспомнить как эта функция решается. Помогите пожалуйста.

Приложения:

Ответы

Ответ дал: olhahrugorieva
0

Ответ:

я вообще как решать не знаю, а подсказать могу(просто не учили кв. корень)

у= (меньше)2, то у=1 и 0

а потом подставляешь

Вас заинтересует