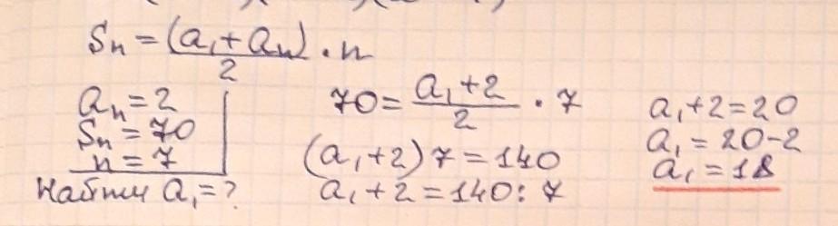
Сумма первых n членов арифметической прогрессии вычисляется по формуле Sn=(a1+an)2⋅n. Пользуясь этой формулой, вычисли значение a1, если an=2, Sn=70, n=7.
Ответы
Ответ дал:
0
Ответ:
Вычисли значение первого чл. арифм.
прогрессии.
Приложения:

Вас заинтересует
2 года назад
3 года назад
8 лет назад
8 лет назад
9 лет назад