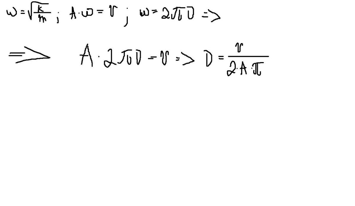
тело массой 100г совершает колебания на пружине с амплитудой 5см. максимальное значение модуля скорости этого тела равно 5 м/с.определите частоту колебаний
Ответы
Ответ дал:
0
формулу вывел, дальше просто подставь и посчитай.
Приложения:
Вас заинтересует
3 года назад
3 года назад
8 лет назад
8 лет назад
11 лет назад
11 лет назад
11 лет назад
11 лет назад