• Предмет: Математика
  • Автор: aimgodaimgod
  • Вопрос задан 8 лет назад

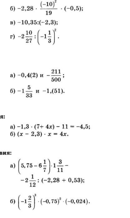
ДАМ 30 БАЛЛОВ !!! Решите

Приложения:

Ответы

Ответ дал: alexeugubacevvasilev
0

Ответ:

9пкозхпео34-ъ0п4крк55555555555555555555555555555555555555555555555555555555555555555555555555555555555555555оьуркшнрэаааз4зхэ65еюриМ.мпооол27887666678999 55555 6666 22222

Пошаговое объяснение:

Ответ дал: 8doshik8
0
1. 6
2. -4,5
3. -4/3
4.<
5.не знаю
6.x=-123/26
Вас заинтересует