помогите алгебра 7 класс 2 примера! срочно дам макс, кол-во баллов)
это очень важно!
Приложения:

Ответы
Ответ дал:
0
Объяснение:
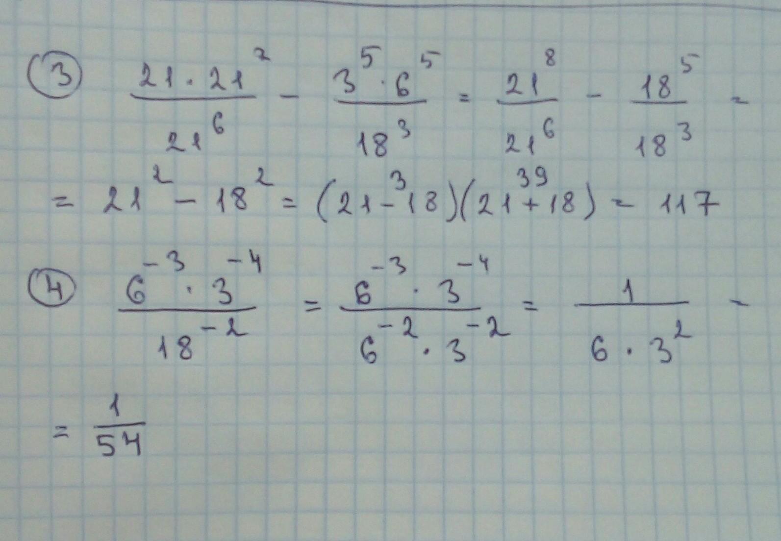
вроде так как-то
Приложения:

Ответ дал:
0
ты уверена, что там 3 в минус 4 степени? должна быть двойка
Ответ дал:
0
Ответ:
фоточка тебе в помощь ;)
Приложения:

Ответ дал:
0
СПАСИБО ТЕБЕ БОЛЬШОЕ! ТЫ ПРОСТО СКАЗКА СОЛНЦЕ , ТЫ СПАСАЕШЬ МОЮ ОЦЕНКУ ПО АЛГЕБРЕ!!!
Вас заинтересует
2 года назад
3 года назад
9 лет назад