• Предмет: Алгебра
  • Автор: famolex793
  • Вопрос задан 8 лет назад

35 баллов за 1 маленький пример.
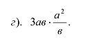
Выполните действия.

Приложения:

Ответы

Ответ дал: Leyer
0

Ответ:

3а³

Объяснение:

3ab*a²/b=3a*a²=3a³

Вас заинтересует