• Предмет: Математика
  • Автор: tdmitrij500
  • Вопрос задан 8 лет назад

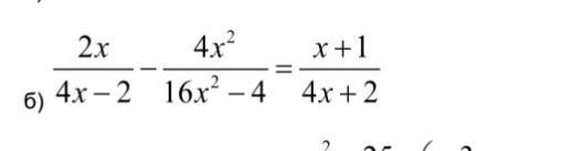
Помогите пжжжжжж!!! ​

Приложения:

Ответы

Ответ дал: quesl
0

Ответ:

x= -1

Пошаговое объяснение:

Мне кажется, что x= -1

Вас заинтересует