Ответы
Ответ дал:
0
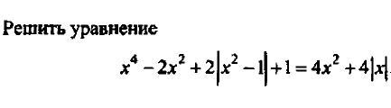
Решение во вложении:
Приложения:



Ответ дал:
0
Произведение равно нулю в том случае, когда хотя бы один из множителей равно нулю
Это уравнение решений не имеет, поскольку его левая часть положительная.
Ответ: .
Приложения:



Вас заинтересует
2 года назад
3 года назад
3 года назад
8 лет назад
8 лет назад
9 лет назад