• Предмет: Алгебра
  • Автор: malenbkayapakostb
  • Вопрос задан 8 лет назад

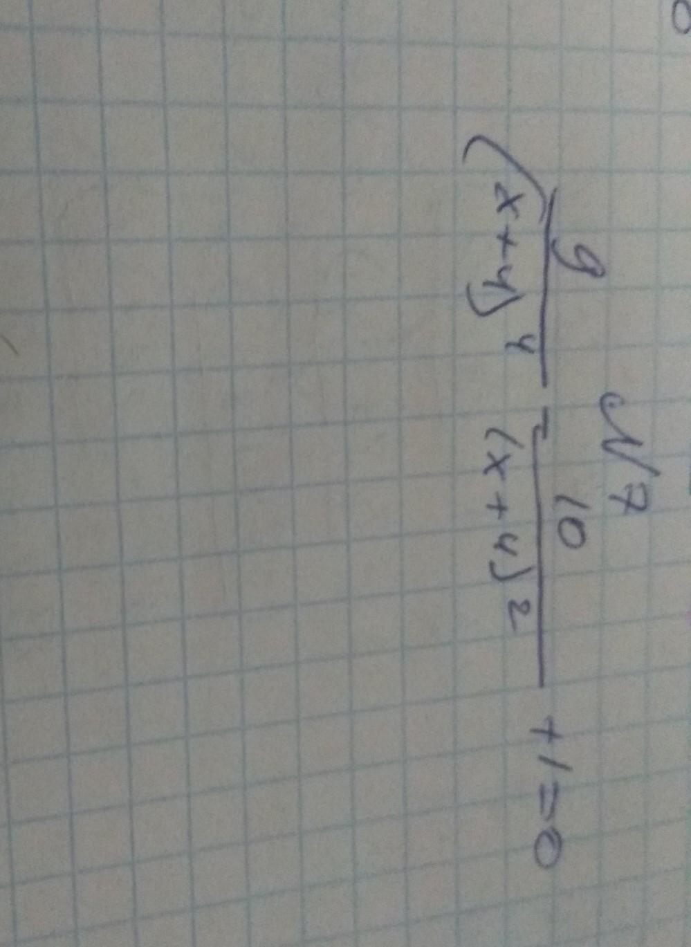
помогите решить уравнение пожалуйста​

Приложения:

Ответы

Ответ дал: mrkripperyt20
0

Ответ:

скачай photo match там есть

Вас заинтересует