• Предмет: Геометрия
  • Автор: tangriev2345000rasul
  • Вопрос задан 8 лет назад

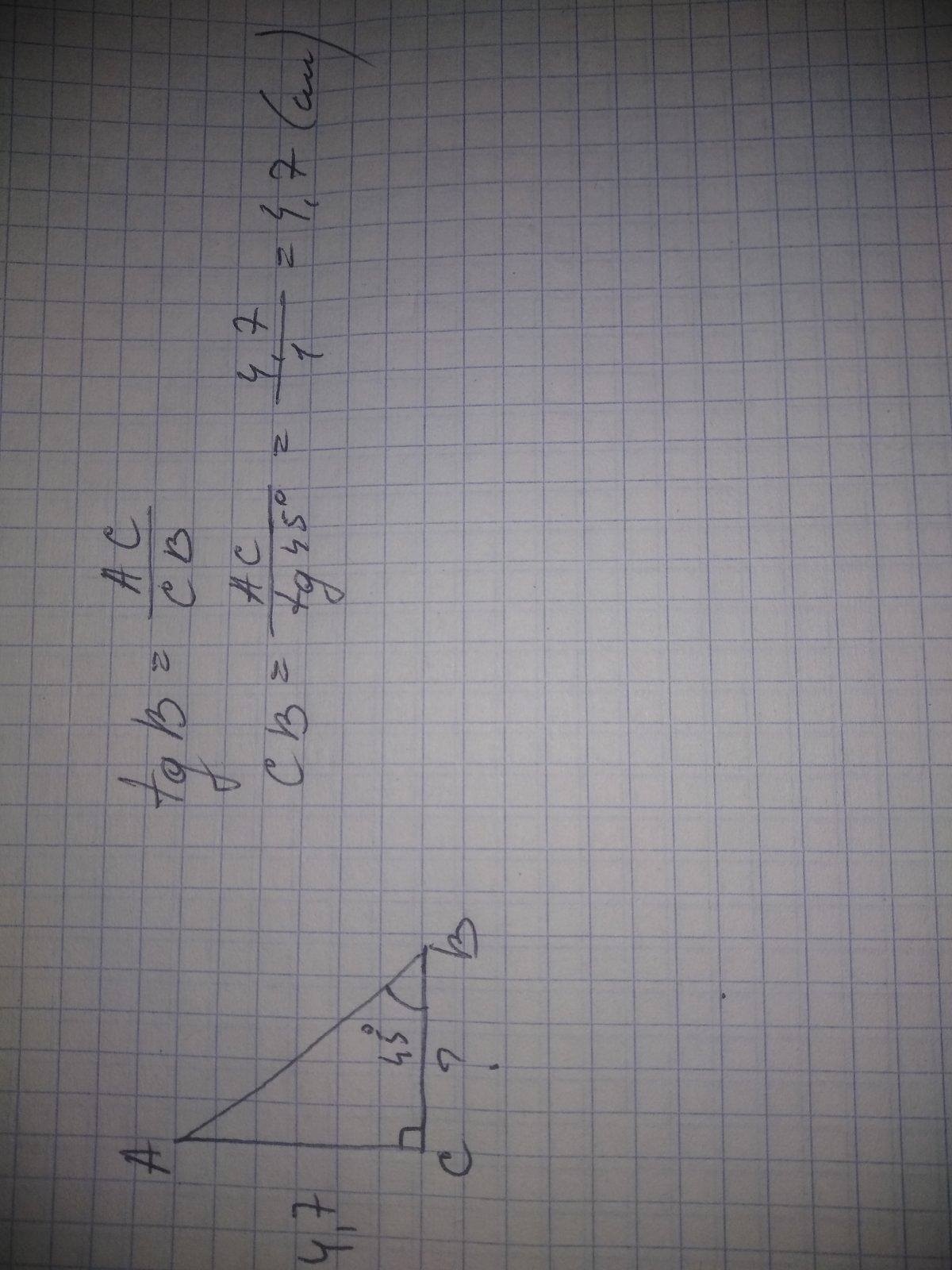
прямоугольный прямоугольник АВС, угол В равен 45 градусов, угол С равен 90 градусов, СА равен 4,7 см, найти угол СВ​

Ответы

Ответ дал: murkakl16
0

Відповідь:

Пояснення:

Приложения:
Вас заинтересует