Ответы
Ответ дал:
0
Ответ:
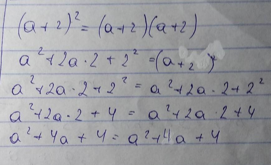
a²+4a+4=a²+4a+4
Пошаговое объяснение:
Просто раскрыть или решить?
Ответ дал:
0
Ответ:
получилось квадратное уравнение. решить?
Приложения:

Вас заинтересует
2 года назад
2 года назад
3 года назад
3 года назад
8 лет назад
8 лет назад
9 лет назад