• Предмет: Математика
  • Автор: Jdutebjy
  • Вопрос задан 8 лет назад

Математика нужно срочно!!!

Приложения:

Ответы

Ответ дал: andreihudalla
0

Ответ:

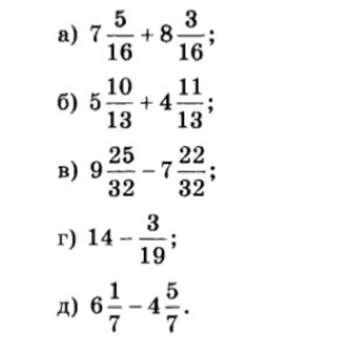
а) 15 frac{1}{2}

б) 10 frac{8}{13}

в) 2 frac{3}{32}

г) 13 frac{16}{19}

д) 1 frac{3}{7}

Вас заинтересует