Ответы
Ответ дал:
0
Все решение изображено на прикрепленном файле.
Приложения:

Ответ дал:
0
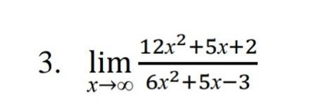
Ответ: 2.
Пошаговое объяснение:
Разделим одновременно числитель и знаменатель на х²:
Приложения:

Вас заинтересует
2 года назад
3 года назад
8 лет назад
8 лет назад
9 лет назад