1.Решите уравнение 9х-6(х-1) =5(х+2)
2.решите задачу
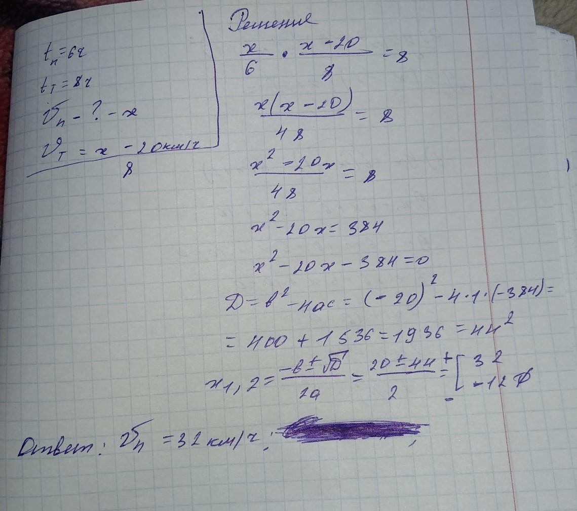
Пассажирский поезд за 6 часов прошел такое же расстояние, какое товарный за 8 часов. Найдите скорость пассажирского поезда, если известно, что скорость товарного на 20 км/ч меньше.
3.фото уравнения щас будет
Ответы
Ответ дал:
0
Ответ:
1)Х=8 2)32км/ч
Объяснение:
всё на фото.
Приложения:
Вас заинтересует
2 года назад
2 года назад
3 года назад
3 года назад
9 лет назад
10 лет назад
10 лет назад