• Предмет: Математика
  • Автор: ritat20466
  • Вопрос задан 8 лет назад

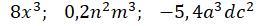
Записать одночлен в виде произведения, в котором все показатели степени равны 1.

Приложения:

Ответы

Ответ дал: Rahmann
0

8x³ = 8 * x * x * x;

0,2n²m³ = 0,2 * n * n * m * m * m;

-5,4a³dc² = -5,4 * a * a * a * d * c * c.

©Rahmann.

Вас заинтересует