• Предмет: Математика
  • Автор: dadadadadada9
  • Вопрос задан 8 лет назад

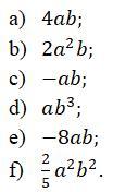
Выписать подобные одночлены: *
Одночлены не выписывать, указать буквы.

Приложения:

Ответы

Ответ дал: LuisiKey
0

Ответ:

ACE

Пошаговое объяснение:

Вас заинтересует