• Предмет: Математика
  • Автор: oleh131020007
  • Вопрос задан 8 лет назад

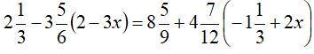
Помогите решить простое уравнение с дробями!

Приложения:

Ответы

Ответ дал: red310780
0

Пошаговое объяснение:

1) Умножить обе части уравнения на 12:

5 + 2x = 3x + 4

2) Перенести слагаемое в другую часть уравнения:

2x - 3x = 4 - 5

3) Привести подобные члены. Вычислить:

 - x =  - 1

4) Изменить знаки:

x = 1

Вас заинтересует