• Предмет: Алгебра
  • Автор: ennakim39
  • Вопрос задан 8 лет назад

ПОЖАЛУЙСТА!!СРОЧНО ПОМОГИТЕ РЕШИТЬ!!!ДАЮ 15 БАЛЛОВ!!!!!

Приложения:

Ответы

Ответ дал: katamaranchiik
0

Объяснение:

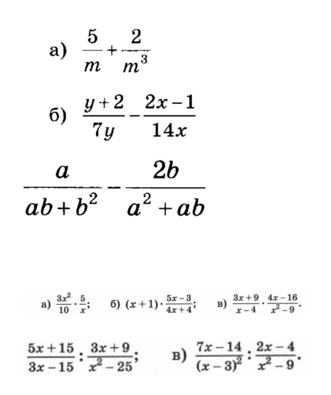
1) 5/m + 2/m³= 5m²+2/m³

2) y+2/7y - 2x-1/14x= 2xy+4x-2xy+2x/14xy = 6x/14xy = 6/14y= 3/7y

3) a/ab+b² - 2b/a²+ab = a/b(a+b) - 2b/a(a+b) = a²-2b²/ab(a+b)

4) 3x²/10 × 5/x = 3x/2

5) (x+1)/1 × (5x-3)/4x+4 = (x+1)/1 × 5x-3/4(x+1) = 5x-3/4

6) 3x+9/х-4 × 4х-16/х²-9 = 3(х+3)/х-4 × 4(х-4)/(х-3)(х+3) = 7/х-3

7) 5х+15/3х-15 × х²-25/3х+9 = 5(х+3)/3(х-5) × (х-5)(х+5)/3(х+3) = 5(х+5)/9

8) 7х-14/(х-3)² × х²-9/2х-4= 7(х-2)/(х-3)² × (х-3)(х+3)/2(х-2) = 7(х+3)/2(х-3)

Вас заинтересует