• Предмет: Математика
  • Автор: lesyaTsaner
  • Вопрос задан 8 лет назад

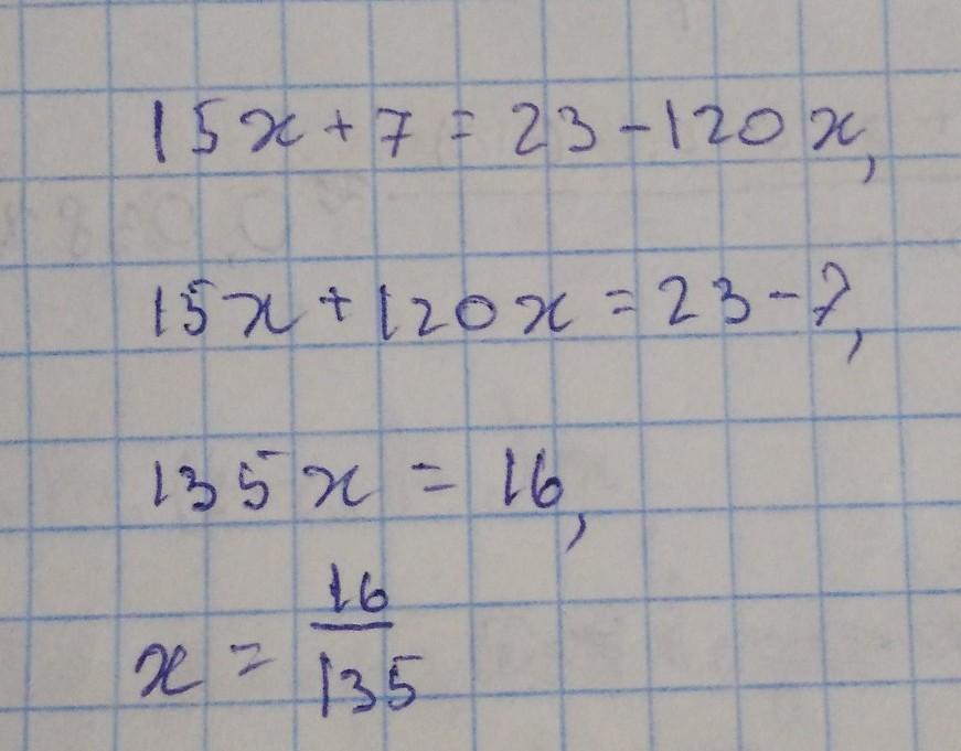
15x+7=23−120x помогите

Ответы

Ответ дал: mylnikofdanil
0

Ответ:

16/135

Пошаговое объяснение:

На фото показано пошаговое решение данного уравнения

Приложения:
Ответ дал: kalizhnikoven
0
норм
Ответ дал: kalizhnikoven
0
чотко
Вас заинтересует