• Предмет: Алгебра
  • Автор: karinabraslo391
  • Вопрос задан 8 лет назад

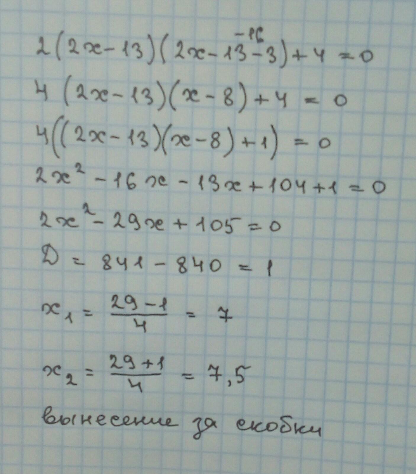
Срочно, помогите. Нужно найти Х1 и Х2,

Приложения:

Ответы

Ответ дал: ЯгодкаЯлесная
0

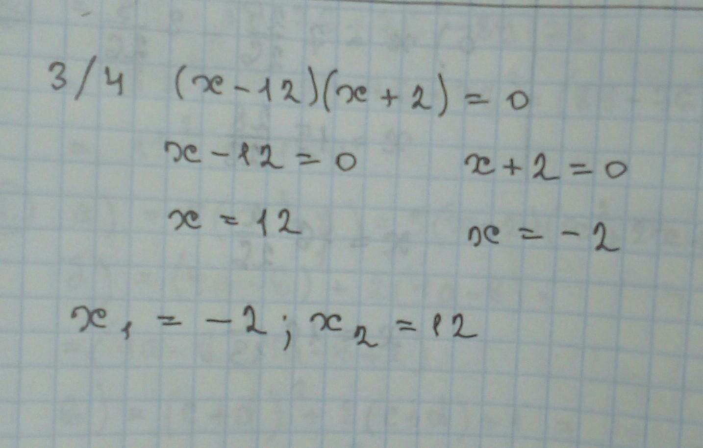
Ответ:

фоточка тебе в помощь ;)

Приложения:
Ответ дал: meran99
0
вы не поможите мне с квадратными уравнениями пожалуйста люблю вас
Ответ дал: ЯгодкаЯлесная
0
))) задавай
Вас заинтересует