• Предмет: Математика
  • Автор: kotekborch
  • Вопрос задан 8 лет назад

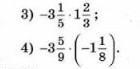
Можете решить? Даю 10 балов ​

Приложения:

Ответы

Ответ дал: ssilaev083
0

3) -frac{16}{5} *frac{5}{3} = -frac{80}{15} = -5frac{1}{3} \\4) -frac{42}{9} *(-frac{9}{8})=frac{42}{8} =5frac{1}{4}

Вас заинтересует