• Предмет: Алгебра
  • Автор: gfhdhdhdh
  • Вопрос задан 8 лет назад

решите пожалуйста по действиям и по дискрименанту
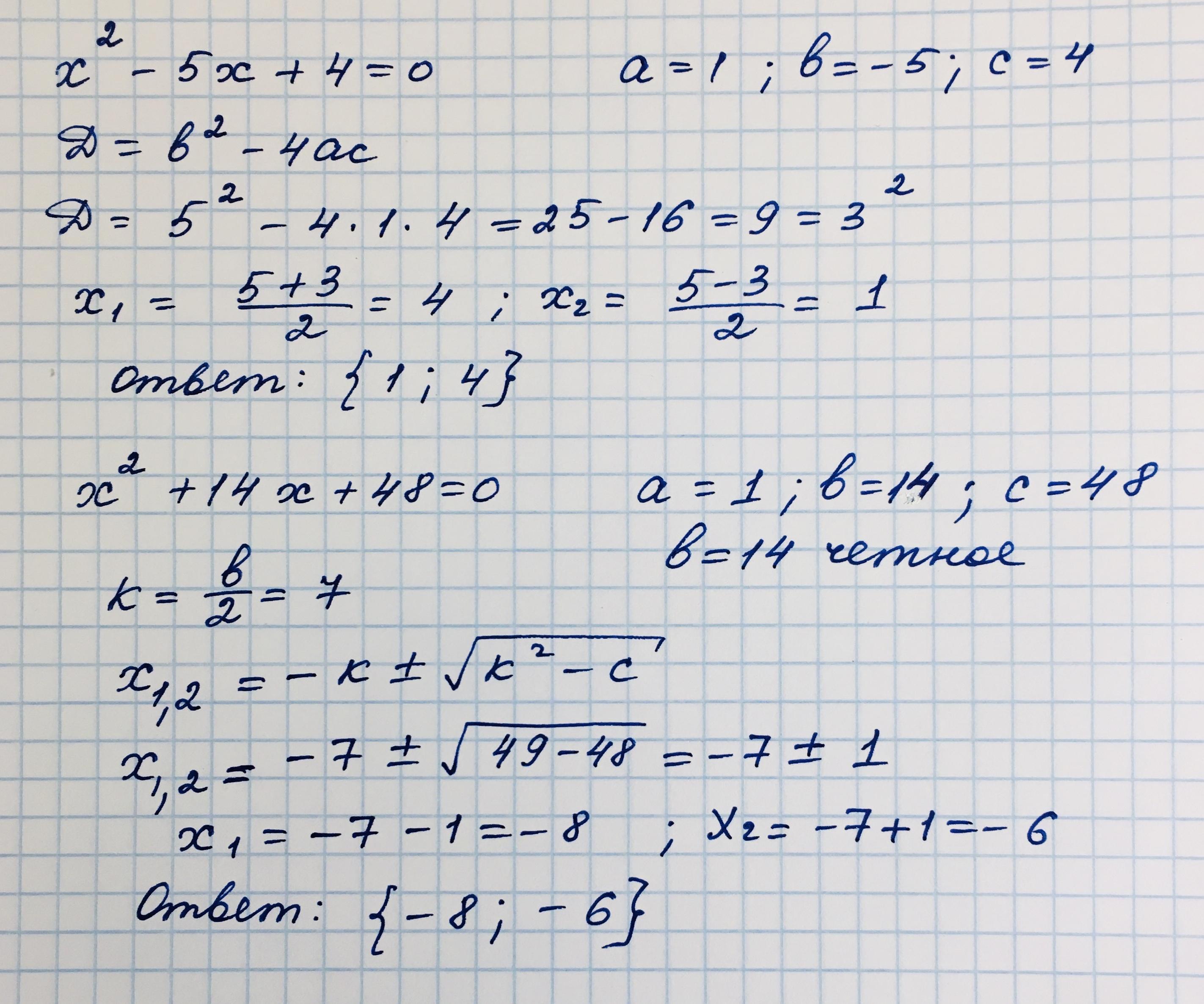
1)
x {}^{2}  - 5x + 4 = 0
2)
x {}^{2}  + 14x + 48 = 0

Ответы

Ответ дал: ВладимирБ
0

Ответ:

Объяснение:

...............................

Приложения:
Вас заинтересует