• Предмет: Математика
  • Автор: dailin
  • Вопрос задан 8 лет назад

Здравствуйте! Помогите пожалуйста решить интеграл методом замены переменной! Заранее благодарю!

Приложения:

Ответы

Ответ дал: Miroslava227
0

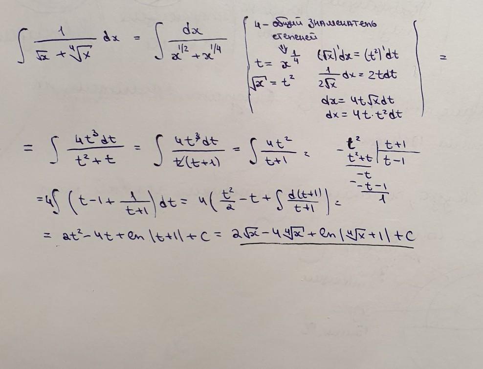
Ответ:

решение на фотографии

Приложения:
Вас заинтересует