Ответы
Ответ дал:
0
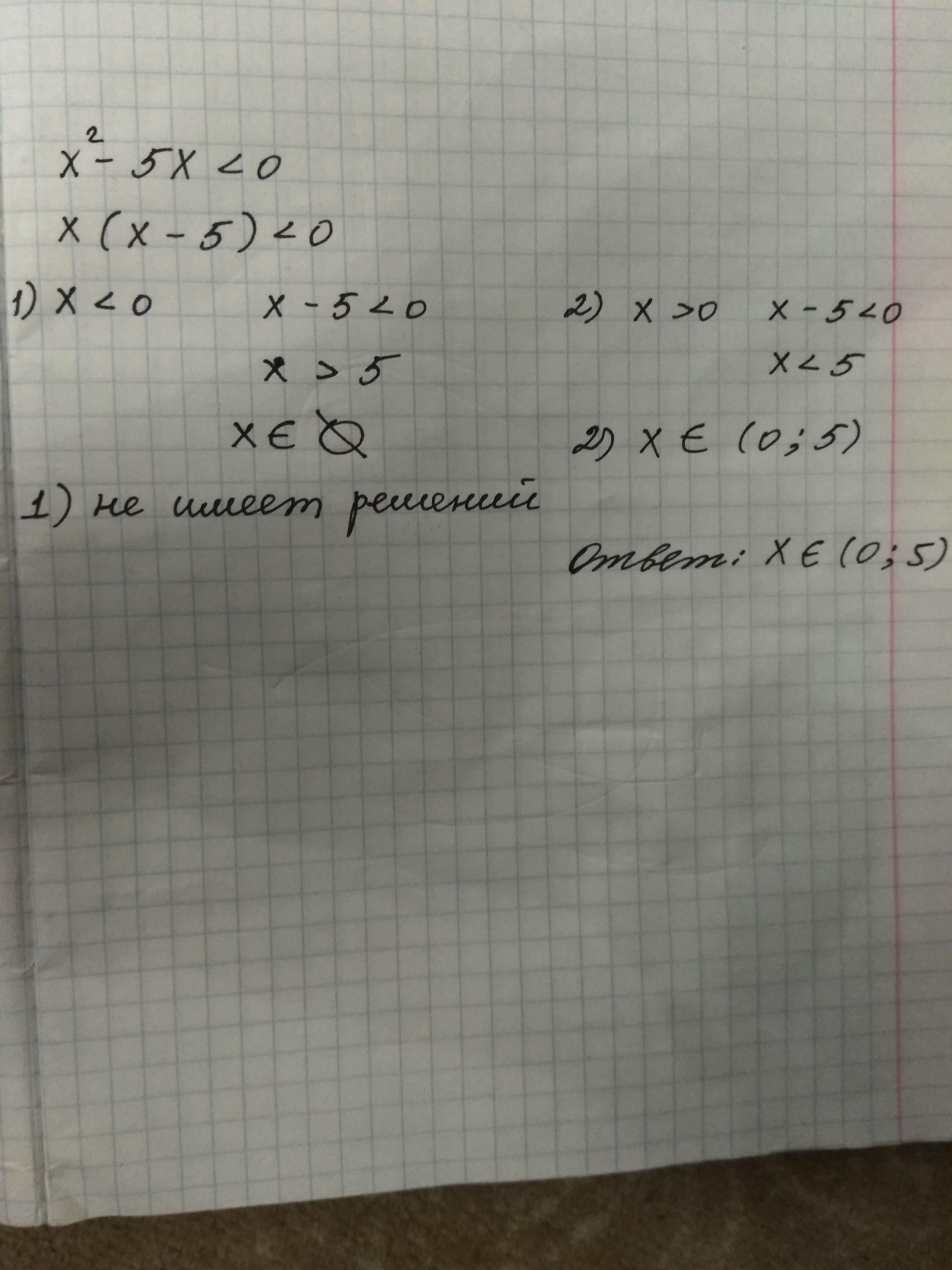
На фотке все решено, если что-то непонятно спрашивай
Приложения:

Вас заинтересует
2 года назад
3 года назад
8 лет назад
8 лет назад
9 лет назад