• Предмет: Математика
  • Автор: Sladkoeshka14
  • Вопрос задан 8 лет назад

СРОЧНО!!!!
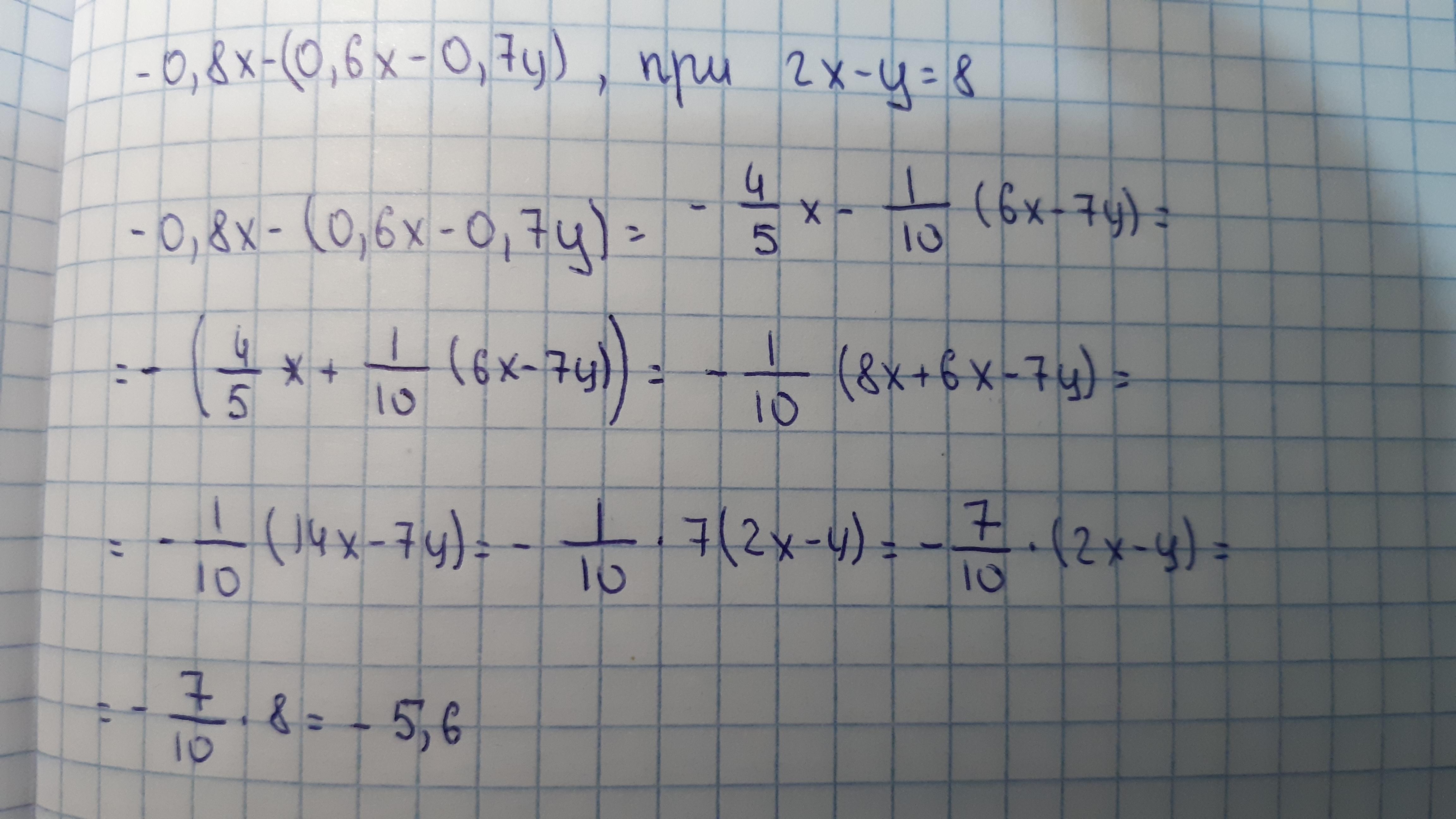
Чему равно значение выражения: -0,8х-(0,6х-0,7у), если 2х-у = -8 ?

Ответы

Ответ дал: belovaept
0

Ответ:

Пошаговое объяснение:

Расписал очень подробно

Приложения:
Вас заинтересует