Ответы
Ответ дал:
0
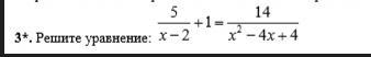
Вот объяснение
Ответ -5 и 4
Ответ -5 и 4
Приложения:

Вас заинтересует
2 года назад
3 года назад
3 года назад
8 лет назад
8 лет назад
9 лет назад
9 лет назад