• Предмет: Математика
  • Автор: cbvxfjbcdthbfff
  • Вопрос задан 8 лет назад

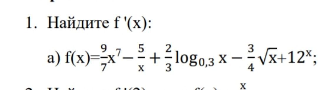
Помогите пожалуйста ❤️

Приложения:

Ответы

Ответ дал: nilufarvokhidova59
0
Тут все написано...)))
Приложения:
Вас заинтересует