Ответы
Ответ дал:
0
Ответ:
Пошаговое объяснение:
4х=12. х=3.
2х=7. х=3,5.
2х+2=3х+3 ; х=-1.
3х-5=3+3х ; -5=3. Уравнение не имеет корней.
3х+6=3х+6 ; 6=6. Уравнение имеет бесконечное множество решений.
Ответ дал:
0
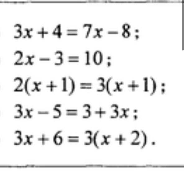
1)3x+4=7x-8
-4x=-12
x=3
2)2x-3=10
2x=10+3
x=6,5
3)2(x+1)=3(x+1)
2x+2=3x+3
-x=1
x=-1
4)3x-5=3+3x
-5=3
Пустое множество
5)3x+6=3(x+2)
3x+6=3x+6
x=R
-4x=-12
x=3
2)2x-3=10
2x=10+3
x=6,5
3)2(x+1)=3(x+1)
2x+2=3x+3
-x=1
x=-1
4)3x-5=3+3x
-5=3
Пустое множество
5)3x+6=3(x+2)
3x+6=3x+6
x=R
Вас заинтересует
2 года назад
3 года назад
3 года назад
9 лет назад
9 лет назад
10 лет назад
10 лет назад