• Предмет: Алгебра
  • Автор: rinagoon2003
  • Вопрос задан 8 лет назад

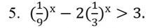
помогите решить неравенство пожалуйста

Приложения:

Ответы

Ответ дал: CZF
0

ответ: x∈(-∞.-1)

альтернативная форма:  x∠-1

Вас заинтересует