• Предмет: Алгебра
  • Автор: gepoilka7
  • Вопрос задан 8 лет назад

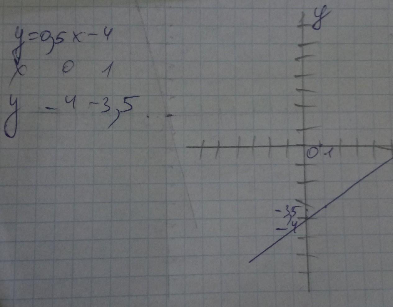
Построить график функции: y = 0,5x - 4

Ответы

Ответ дал: hill384
0

ответ на фото

-----------------------

Приложения:
Вас заинтересует