• Предмет: Математика
  • Автор: pakhotnov228
  • Вопрос задан 8 лет назад

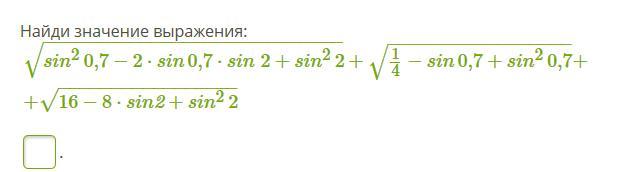
Найди значение выражения:

Приложения:

Ответы

Ответ дал: Anglben
0

Ответ:

Пошаговое объяснение:

по формуле a² - 2ab + b² = (a - b)² с учетом √(a - b)² = |a - b| (модуль, положительное число)

имеем |sin0,7 - sin2| + |1/2 - sin0,7| + |4 - sin2| = 4 - 1/2 = 3,5

Вас заинтересует