• Предмет: Алгебра
  • Автор: karakatiz
  • Вопрос задан 8 лет назад

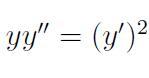
Решить дифференциальное уравнение:

Приложения:

Ответы

Ответ дал: triggerbott
0

Тип: дифференциальное уравнение второго порядка, допускающее понижения порядка.

Пусть u(y)=y', тогда y''=uu', получаем

uu'y=u^2\ \ u=0;~~~ u'y=u\ \ dfrac{du}{dy}cdot y=u~~~Rightarrow~~~ displaystyle int dfrac{du}{u}=int dfrac{dy}{y}~~~Rightarrow~~ ln|u|=ln|y|+ln C\ \ u=C_1y

Выполним обратную замену

y'=C_1y\ \ displaystyle int dfrac{dy}{y}=C_1int dx\ \ ln |y|=C_1x+C_2\ \ y=e^{C_1x+C_2}=C_1C_2e^x

Если u = 0, то y=c_1

Ответ: y=c_1 или y=C_1C_2e^x

Ответ дал: karakatiz
0
Хорошо. Буду благодарен.
Вас заинтересует