Написать программу, которая вычисляет значение выражения из вложенного файла 

Приложения:

Ответы

Ответ дал: BobbyFresnel
0

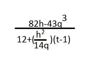
===== PascalABc.NET =====

begin

 var (h, q, t) := ReadReal3('Введите h, q, t:');

 Print((82 * h - 43 * q * q * q) / (12 + h * h / (14 * q) * (t - 1)))

end.

Вас заинтересует