• Предмет: Математика
  • Автор: hggfgbcd
  • Вопрос задан 8 лет назад

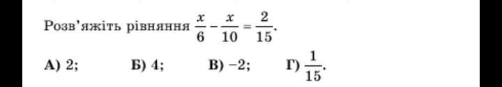
РЕШЫЫЫЫЫЫЫЫЫЫТЕ ПЛИИИЗ,!!!!

Приложения:

Ответы

Ответ дал: Аноним
0

Ответ:

А

Пошаговое объяснение:

5x-3x=4

2x=4

x=4

Вот так както

Вас заинтересует