Решите квадратное уравнение
1)х(во второй степени)+7х+12=0
2)х(во второй степени)-2х-35=0
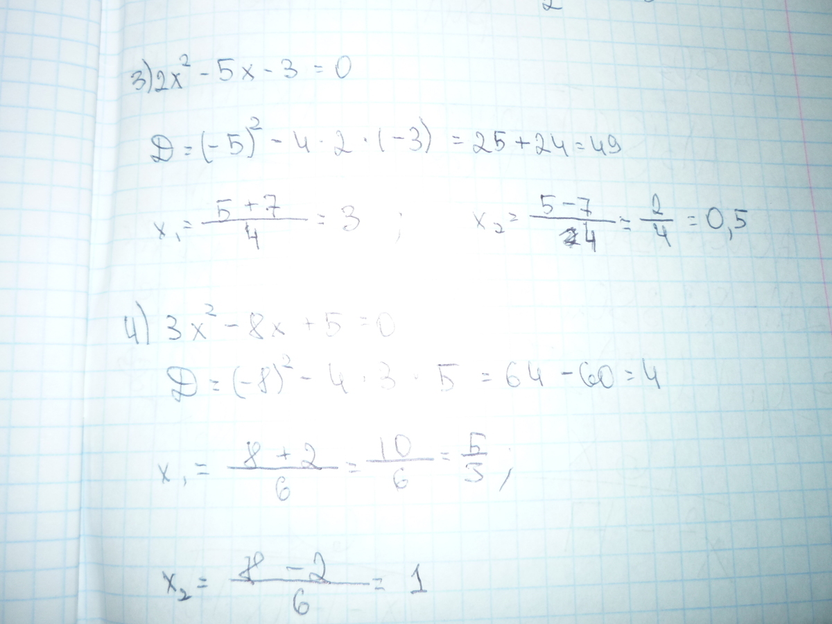
3)2х(во второй степени)-5х-3=0
4)3х(во второй степени)-8х+5=0
Ответы
Ответ дал:
0
1)х(во второй степени)+7х+12=0
D=49-48=1


2)х(во второй степени)-2х-35=0
D=4+140=144

3)2х(во второй степени)-5х-3=0
D=25+24=49
4)3х(во второй степени)-8х+5=0
D=64-60=4
D=49-48=1
2)х(во второй степени)-2х-35=0
D=4+140=144
3)2х(во второй степени)-5х-3=0
D=25+24=49
4)3х(во второй степени)-8х+5=0
D=64-60=4
Ответ дал:
0
Квадратные уравнения
Приложения:


Ответ дал:
0
благодарю:)))
Вас заинтересует
2 года назад
8 лет назад
10 лет назад
10 лет назад
10 лет назад
10 лет назад