• Предмет: Математика
  • Автор: Maria203331
  • Вопрос задан 8 лет назад

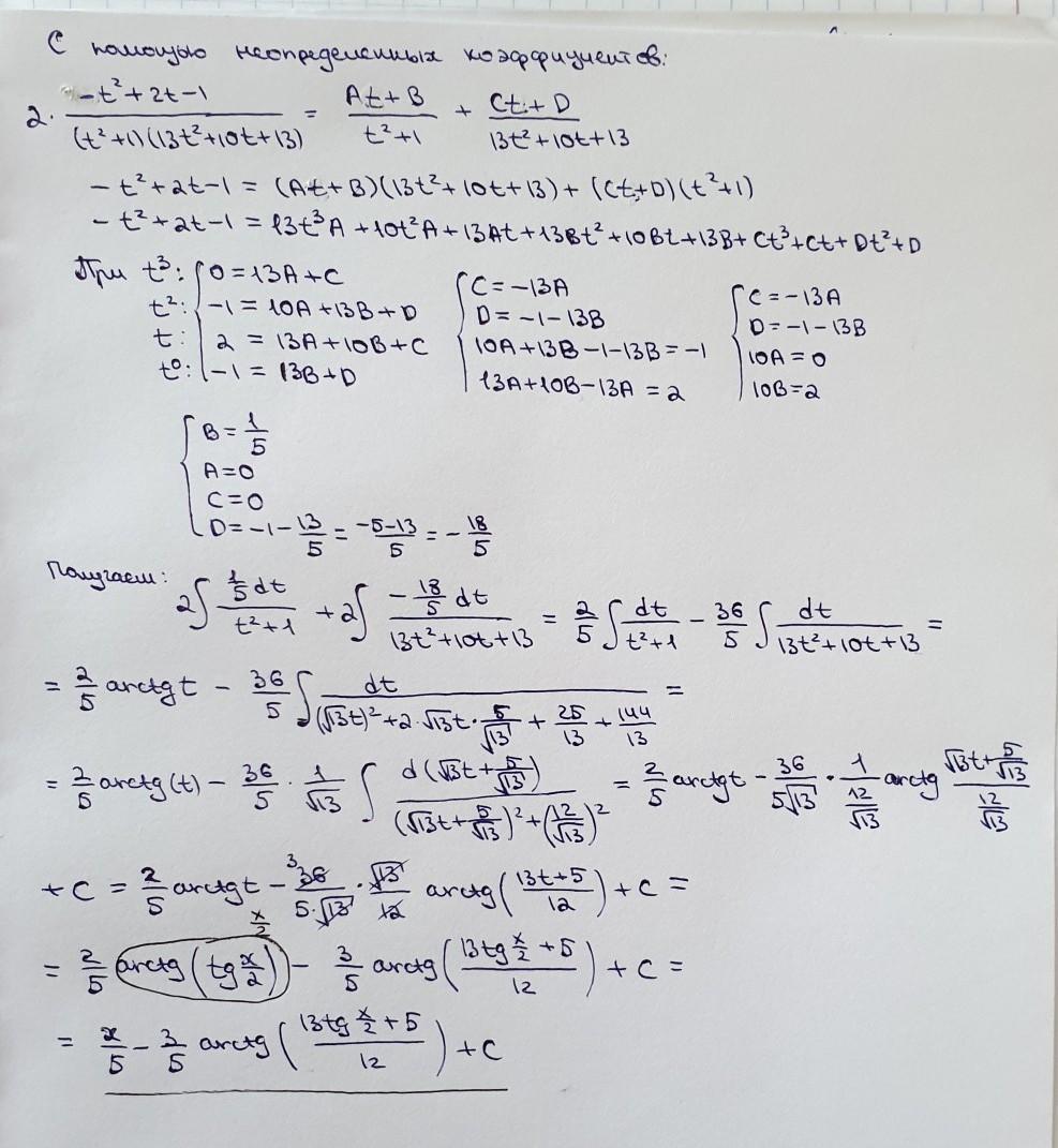
Решить интеграл подробно

Приложения:

Ответы

Ответ дал: Miroslava227
0

Ответ:

решение на фотографиях

Приложения:
Вас заинтересует